Журнал Компьютерра - Журнал «Компьютерра» №46 от 15 декабря 2005 года

Здесь есть возможность читать онлайн «Журнал Компьютерра - Журнал «Компьютерра» №46 от 15 декабря 2005 года» весь текст электронной книги совершенно бесплатно (целиком полную версию без сокращений). В некоторых случаях можно слушать аудио, скачать через торрент в формате fb2 и присутствует краткое содержание. Жанр: Прочая околокомпьтерная литература, на русском языке. Описание произведения, (предисловие) а так же отзывы посетителей доступны на портале библиотеки ЛибКат.

Журнал «Компьютерра» №46 от 15 декабря 2005 года: краткое содержание, описание и аннотация

Предлагаем к чтению аннотацию, описание, краткое содержание или предисловие (зависит от того, что написал сам автор книги «Журнал «Компьютерра» №46 от 15 декабря 2005 года»). Если вы не нашли необходимую информацию о книге — напишите в комментариях, мы постараемся отыскать её.

Журнал «Компьютерра» №46 от 15 декабря 2005 года — читать онлайн бесплатно полную книгу (весь текст) целиком

Ниже представлен текст книги, разбитый по страницам. Система сохранения места последней прочитанной страницы, позволяет с удобством читать онлайн бесплатно книгу «Журнал «Компьютерра» №46 от 15 декабря 2005 года», без необходимости каждый раз заново искать на чём Вы остановились. Поставьте закладку, и сможете в любой момент перейти на страницу, на которой закончили чтение.

Тёмная тема
Сбросить

Интервал:

Закладка:

Сделать
Совсем другое дело в случае полноразмерной матрицы 36х24 мм Даже для - фото 70

Совсем другое дело в случае полноразмерной матрицы (36х24 мм). Даже для 16-мегапиксельной камеры (Canon Mark II) на каждый сенсор приходится 7,2х7,2 мкм, вдобавок площадь, занятая собственно сенсором, там существенно выше. Так почему я утверждаю, что в настоящее время фактор шумов не имеет особого значения? А потому, что прогресс не стоит на месте - маленькая матрица, выпущенная сегодня, на много порядков лучше, чем большая, но изготовленная в году этак 1999-м. И сами матрицы, и технологии подавления шумов стали совершеннее. Разумеется, при непосредственном сравнении C-770 проиграет Mark II, но так ли уж это важно для тех, кто покупает С-770? Учтем еще, что даже заметный шум скрадывается при печати на принтере. Наконец, прогресс в этой области в стенку совсем не уперся - пока нет особых причин, по которым новые поколения матриц не должны шуметь все меньше и меньше.

Глубина резкости

Еще одно обстоятельство, которое часто упоминают, рассуждая о недостатках небольших матриц, - чрезмерная глубина резкости. Фокусное расстояние «нормального» объектива примерно равно диагонали матрицы (или чуть превышает ее). Поэтому «нормальным» для того же С-770 будет объектив с фокусным расстоянием около 9 мм, что мы и наблюдаем - камера имеет 10-кратный зум и диапазон фокусных расстояний 6,3-63 мм (38-380 мм в 35-миллиметровом эквиваленте), то есть немного в сторону широкоугольности при минимальном зуме. Глубина резкоизображаемого пространства находится в квадратичной зависимости от фокусного расстояния. Не углубляясь в подробности, приведем только конечную формулу этой функции:

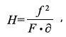
Журнал Компьютерра 46 от 15 декабря 2005 года - изображение 71

где H - гиперфокальное расстояние (расстояние до передней границы резкоизображаемого пространства при наводке на бесконечность), f - фокусное расстояние объектива, F - значение диафрагмы, а #948; - величина так называемого допустимого кружка рассеяния, которая для кадра 24х36 мм обычно принимается равной 0,05 мм. Матрица у нас много меньше пленочного кадра, поэтому примем #948; = 0,01 мм. Если подсчитать гиперфокальное расстояние, например, при фокусном расстоянии 7 мм и диафрагме 2,8, которая имеет место для рассматриваемого объектива, то получим 1,75 м. Таким образом, все, что дальше 1,75 м, будет отображаться резко без специальной наводки! На самом деле, как мы увидим дальше, нас устроит допущение относительно кружка рассеяния и в 0,05 мм, то есть фактически такой камерой можно снимать, вообще не наводя на резкость на коротком фокусе - зачем? Оттого-то и снимки выходят плоскими и невыразительными, объекты теряются на фоне, и хороший портрет или предметный снимок сделать такой камерой трудно.

Конечно, на длинном фокусе вы получите значительно большие величины. Но на максимальном фокусном расстоянии никто портретов не делает - при обычных освещенностях нужен штатив, да и расстояние слишком велико. Для обычного «портретника» характерно фокусное расстояние около 100 мм, что в пересчете на данную матрицу составит 15 мм, и приемлемого размытия фона вы не получите. При кружке рассеяния 0,05 мм гиперфокальное расстояние составит всего 1,5 м, а такой кружок при увеличении в двадцать раз (для получения снимка размером 10х15) даст минимально различимые детали снимка 1 мм, что визуально воспринимается не как размытие, а лишь как некоторая нечеткость. Обычный (f = 50 мм) достаточно светосильный (Fmax = 2) объектив для компактной пленочной камеры имеет гиперфокальное расстояние 25 м при том же кружке рассеяния. Но даже там получить достаточно размытый фон на портрете не всегда удается.

Это, конечно, крупный недостаток. Зато, во-первых, снимки из категории «групповой портрет на фоне Колизея», наоборот, автоматически получаются качественными и специально об управлении глубиной резкости заботиться не нужно. Поэтому неопытному любителю это может и не показаться недостатком. Да и далеко не любитель Козловский снимает уже страшно сказать сколько лет «Олимпусом» с матрицей 2/3”, диагональ которой (11 мм) непринципиально отличается от рассматриваемой, и ничего, не жалуется. А во-вторых, это может показаться даже достоинством, поскольку аппараты получаются компактными - не надейтесь встретить аппарат толщиной с записную книжку, имеющий матрицу размером с пленочный кадр.

Вот оно

Настоящая собака зарыта в принципиальном ограничении на качество снимков, которое накладывает разрешающая способность объектива, и влияние этого фактора растет пропорционально уменьшению размеров матрицы. Именно в этом настоящее преимущество Nikon D70 с матрицей 23,7х15,6 мм перед Nikon Coolpix P1 с матрицей 1/1,8” (5,3х7,2 мм). Обратимся к цифрам и фактам.

Читать дальше
Тёмная тема
Сбросить

Интервал:

Закладка:

Сделать

Похожие книги на «Журнал «Компьютерра» №46 от 15 декабря 2005 года»

Представляем Вашему вниманию похожие книги на «Журнал «Компьютерра» №46 от 15 декабря 2005 года» списком для выбора. Мы отобрали схожую по названию и смыслу литературу в надежде предоставить читателям больше вариантов отыскать новые, интересные, ещё непрочитанные произведения.


Отзывы о книге «Журнал «Компьютерра» №46 от 15 декабря 2005 года»

Обсуждение, отзывы о книге «Журнал «Компьютерра» №46 от 15 декабря 2005 года» и просто собственные мнения читателей. Оставьте ваши комментарии, напишите, что Вы думаете о произведении, его смысле или главных героях. Укажите что конкретно понравилось, а что нет, и почему Вы так считаете.

x