Илья Мельников - Рулетка

Здесь есть возможность читать онлайн «Илья Мельников - Рулетка» — ознакомительный отрывок электронной книги совершенно бесплатно, а после прочтения отрывка купить полную версию. В некоторых случаях можно слушать аудио, скачать через торрент в формате fb2 и присутствует краткое содержание. Жанр: Развлечения, на русском языке. Описание произведения, (предисловие) а так же отзывы посетителей доступны на портале библиотеки ЛибКат.

Рулетка: краткое содержание, описание и аннотация

Предлагаем к чтению аннотацию, описание, краткое содержание или предисловие (зависит от того, что написал сам автор книги «Рулетка»). Если вы не нашли необходимую информацию о книге — напишите в комментариях, мы постараемся отыскать её.

Рулетка – наиболее признанный символ казино, невероятно захватывающая и азартная игра. Не случайна игра в рулетку пользуется огромной популярностью во всем мире. Некоторые утверждают, что в рулетку нельзя выиграть, другие наоборот разрабатывают специальные системы игры в рулетку, о которых будет сказано ниже. Так или иначе, рулетка в казино – это способ отдохнуть и возможно подзаработать.

Рулетка — читать онлайн ознакомительный отрывок

Ниже представлен текст книги, разбитый по страницам. Система сохранения места последней прочитанной страницы, позволяет с удобством читать онлайн бесплатно книгу «Рулетка», без необходимости каждый раз заново искать на чём Вы остановились. Поставьте закладку, и сможете в любой момент перейти на страницу, на которой закончили чтение.

Тёмная тема
Сбросить

Интервал:

Закладка:

Сделать

Так, ещё Н.А.Некрасов, отправляясь на крупную игру, клал деньги, предназначенные для проигрыша, в отдельный карман. "Нужно, – говорил он, – относиться к этим деньгам так, как будто их уже нет". Фортуна любит лёгкость в обращении с деньгами. Если вы станете трястись над каждой ставкой, если вы отрываете деньги от семьи или каких-то своих важных дел, лучше не играйте.

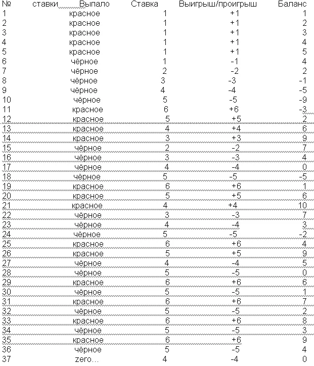
Попробуем проверить, как бы сработала система «Томас Дональд» на практике. Допустим, мы всегда ставим на красное, начальная ставка – $1. Предположим, что из 37 запусков рулетки красное выпадает 18 раз, столько же раз – чёрное, и 1 раз – zero. Пусть красное и чёрное чередуются таким образом: 5 раз красное, 5 раз чёрное, 4 раза красное, 4 раза чёрное, 3 раза красное, 3 раза чёрное, 2 раза красное, 2 раза чёрное, дальше через 1.

Обратите внимание по результату целой игры мы сыграли вничью хотя выигрышей у - фото 8

Обратите внимание, по результату целой игры мы сыграли вничью, хотя выигрышей у нас было на 1 меньше, чем проигрышей. К тому же, чередование красного и чёрного оказалось для нас очень невыгодным: первые пять раз мы выигрывали всего по $1. Если бы чередование началось с пяти чёрных, то следующие 5 выигрышей принесли бы не $5, а $20 (6+5+4+3+2).

Почему же, даже играя по системе, люди чаще проигрывают в рулетку? Тот же Достоевский, если судить по письмам жене, постоянно просил прислать денег на обратную дорогу. Мы не знаем, по какой системе играл Фёдор Михайлович, но по какой бы ни играл, автор «Игрока» определённо нарушал основные заповеди, касающиеся лёгкого отношения к деньгам. Из его текстов это очевидно.

Модификация Томаса Дональда – система «Дональд-Натансон».

В наши дни старинная система Томас Дональд подверглась критическому пересмотру со стороны серьёзного математика Льва Натансона. Он рассуждал следующим образом: «Я всегда ставлю на красное. Допустим, начальная ставка – 1 доллар. После выпадения чёрного я увеличиваю ставку на единицу, а после выпадения красного – уменьшаю на единицу. Но что мне делать, если я поставил доллар на красное и выиграл?»

Согласно Т.Дональду, ставка должна оставаться неизменной, так как ни нулевых, ни отрицательных ставок не бывает. «А собственно, почему?» – подумал математик. И попробовал: получилось весьма интересно.

Чтобы не отступать от канонов системы, после ставки на красное и выигрыша, ставку нужно уменьшить на единицу. Если вы ставили $1, следующая ставка должна быть равна нулю. Что такое нулевая ставка, понятно: очередной запуск рулетки вы просто пропускаете. Но при этом вы ставите ноль именно на красное и внимательно следите за тем, что выпадет, – чтобы знать, как поставить в следующий раз. Допустим, опять выпало красное. Вы выиграли и должны снова уменьшить ставку. Следующая ставка (по системе) должна равняться -1 (минус единице).

А что такое отрицательная ставка на красное? Это – ставка на чёрное! Что бы ни случилось в дальнейшем, правило только одно: при выпадении чёрного ставка увеличивается, при выпадении красного – уменьшается.

Пусть, например, при трёх первых запусках рулетки всё время выпадает красное. После первого запуска мы выиграли $1, во второй раз "ставим нуль", а в третий – минус $1 (доллар на чёрное).

«Широкий шаг».

Вот пример ещё одной системы, основанной на принципе мартингейл. После каждого выигрыша игрок ставит первоначальную ставку. После каждого проигрыша ставка удваивается и увеличивается на единицу. Игрок всегда ставит на равные шансы.

Автор этой системы исходит из предположения что в игре существуют чередующиеся - фото 9

Автор этой системы исходит из предположения, что в игре существуют чередующиеся серии. Отрицательный результат каждой неблагоприятной серии (чёрной полосы) он пытается компенсировать выигрышем в одном-единственном броске.

Нетрудно убедиться, что при каждом положительном исходе его суммарный выигрыш равен порядковому номеру запуска рулетки с начала игры.

Но система столь агрессивна, что применяющий её рискует слишком рано упереться в верхний предел ставки. Посмотрите по таблице, что будет, если в 9-м испытании результат окажется отрицательным.

Следующая ставка должна быть уже в 63 раза больше первоначальной При нижнем - фото 10

Следующая ставка должна быть уже в 63 раза больше первоначальной. При нижнем лимите $25 это составит $1575, что намного больше верхнего предела. Серию из 5-ти поражений подряд система уже не выдерживает.

Читать дальше
Тёмная тема
Сбросить

Интервал:

Закладка:

Сделать

Похожие книги на «Рулетка»

Представляем Вашему вниманию похожие книги на «Рулетка» списком для выбора. Мы отобрали схожую по названию и смыслу литературу в надежде предоставить читателям больше вариантов отыскать новые, интересные, ещё непрочитанные произведения.


Отзывы о книге «Рулетка»

Обсуждение, отзывы о книге «Рулетка» и просто собственные мнения читателей. Оставьте ваши комментарии, напишите, что Вы думаете о произведении, его смысле или главных героях. Укажите что конкретно понравилось, а что нет, и почему Вы так считаете.