Ирина Смехова - Технология мягких лекарственных форм. Учебное пособие

Здесь есть возможность читать онлайн «Ирина Смехова - Технология мягких лекарственных форм. Учебное пособие» — ознакомительный отрывок электронной книги совершенно бесплатно, а после прочтения отрывка купить полную версию. В некоторых случаях можно слушать аудио, скачать через торрент в формате fb2 и присутствует краткое содержание. Город: Санкт-Петербург, Год выпуска: 2004, ISBN: 2004, Жанр: Детская образовательная литература, Справочники, Медицина, Медицина, на русском языке. Описание произведения, (предисловие) а так же отзывы посетителей доступны на портале библиотеки ЛибКат.

Технология мягких лекарственных форм. Учебное пособие: краткое содержание, описание и аннотация

Предлагаем к чтению аннотацию, описание, краткое содержание или предисловие (зависит от того, что написал сам автор книги «Технология мягких лекарственных форм. Учебное пособие»). Если вы не нашли необходимую информацию о книге — напишите в комментариях, мы постараемся отыскать её.

Общая часть пособия посвящена характеристике вспомогательных веществ (основам и эмульгаторам), используемым в технологии мазей и суппозиториев. Приведены примеры расчета вспомогательных веществ, особенности технологии различных типов мазей и суппозиториев. Пособие включает 12 приложений, содержащих справочные данные о свойствах лекарственных веществ и компонентов основ, их совместимости, официнальные и унифицированные прописи лекарственных и гомеопатических мазей и суппозиториев. Пособие предназначено для слушателей ФДПО, студентов фармацевтических вузов, колледжей и училищ, а также для практических работников аптек, занимающихся изготовлением мягких лекарственных форм.

Технология мягких лекарственных форм. Учебное пособие — читать онлайн ознакомительный отрывок

Ниже представлен текст книги, разбитый по страницам. Система сохранения места последней прочитанной страницы, позволяет с удобством читать онлайн бесплатно книгу «Технология мягких лекарственных форм. Учебное пособие», без необходимости каждый раз заново искать на чём Вы остановились. Поставьте закладку, и сможете в любой момент перейти на страницу, на которой закончили чтение.

Тёмная тема
Сбросить

Интервал:

Закладка:

Сделать

• эпидермис (подкожица);

• собственно кожа (дерма);

• подкожная жировая клетчатка.

Подкожица (эпидермис) состоит из постоянно меняющихся пяти слоев клеток. Представляет собой полупроницаемую мембрану, лишенную кровеносных сосудов.

Наружный слой подкожицы — роговой – состоит из кератинизированных клеток и пронизан протоками потовых и сальных желез, волосяными фолликулами. Эти клетки физиологически пассивны, выполняют защитные функции и представляют собой основной барьер для попадания лекарственных веществ и микроорганизмов в организм человека. Толщина первых двух слоев около 4 мм.

Дерма состоит из эластичных волокон, пронизанных кровеносными, лимфатическими сосудами и нервными окончаниями. В дерму также открываются протоки различных желез (потовых, сальных). Через дерму хорошо всасываются жирорастворимые вещества, которые иногда могут оказывать токсические эффекты (резорцин, цинка сульфат, кислота борная, кислота салициловая, хлороформ).

Рис 1 Схема строения кожи человека 1 роговой слой 2 капиллярный слой - фото 1

Рис. 1. Схема строения кожи человека:

1 – роговой слой; 2 – капиллярный слой; 3 – сеть капилляров; 4 – кровеносный сосуд

Подкожная клетчатка состоит из пучков соединительной ткани с зернами подкожного жира (см. рис. 1).

Пути проникновения лекарственных веществ через кожу.Всасывание лекарственных веществ происходит через эпидермис, сальные и потовые железы и волосяные луковицы (рис. 2). Количество всасываемого вещества зависит от площади нанесения мази и толщины кожи. Всасывание может быть усилено интенсивным втиранием мази и зависит от состояния кожи, наличия заболевания и величины рН. У здоровых людей значение рН составляет от 5,5 до 6,5 – 7,0. При воспалительных процессах рН кожи снижается. Количество всасываемого лекарственного вещества увеличивается с повышением рН.

Качество мази определяется многими показателями, в том числе способностью мазевых основ высвобождать лекарственные вещества и скоростью всасывания лекарственных веществ. Процесс всасывания складывается из следующих стадий:

• растворение лекарственных веществ в основе;

• диффузия лекарственных веществ в границах нанесения слоя мази;

• проникновение лекарственных веществ в кожу.

Рис 2 Пути проникновения лекарственных веществ через кожу А - фото 2

Рис. 2. Пути проникновения лекарственных веществ через кожу:

А – трансдермальный: 1 – межклеточный; 2 – трансцеллюлярный; Б – через поры: 3 – трансгладулярный (через стенки фолликул и протоки сальных и потовых желез); 4 – трансфолликулярный

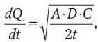
Рассчитать количество всосавшегося лекарственного вещества можно по формуле:

где Q количество всосавшегося вещества за определенное время t D константа - фото 3

где Q – количество всосавшегося вещества за определенное время t; D – константа диффузии; А – концентрация вещества; С – растворимость лекарственного вещества в основе (определяется in vitro и in vivo ).

МАЗЕВЫЕ ОСНОВЫ

Мази состоят из лекарственных веществ, определяющих медицинское назначение мази, и основы. Мазевые основы обеспечивают надлежащую массу мази, необходимую концентрацию лекарственных веществ, нужные физические свойства: консистенцию, плавкость, мягкость, намазываемость и др.

Сами основы могут иногда оказывать фармакологическое действие (например, бентонит, фитостерины оказывают противовоспалительное, ранозаживляющее действие и т. д.). То есть основы являются активным носителем лекарственных веществ. Заменяя основы, можно изменять резорбцию (всасывание лекарственных веществ) и пенитрацию (проникновение и насыщение лекарственными веществами органов, липоидных клеток).

Требования, предъявляемые к основам для мазей

• Соответствовать цели назначения мази.

• Обеспечивать нужную консистенцию мази и концентрацию лекарственных веществ.

• Химическая индифферентность.

• Нейтральность реакции.

• Фармакологическая индифферентность, отсутствие аллергизирующего действия.

• Определенные структурно-механические (реологические) характеристики.

• Хорошо воспринимать и отдавать лекарственные вещества.

Читать дальше
Тёмная тема
Сбросить

Интервал:

Закладка:

Сделать

Похожие книги на «Технология мягких лекарственных форм. Учебное пособие»

Представляем Вашему вниманию похожие книги на «Технология мягких лекарственных форм. Учебное пособие» списком для выбора. Мы отобрали схожую по названию и смыслу литературу в надежде предоставить читателям больше вариантов отыскать новые, интересные, ещё непрочитанные произведения.


Отзывы о книге «Технология мягких лекарственных форм. Учебное пособие»

Обсуждение, отзывы о книге «Технология мягких лекарственных форм. Учебное пособие» и просто собственные мнения читателей. Оставьте ваши комментарии, напишите, что Вы думаете о произведении, его смысле или главных героях. Укажите что конкретно понравилось, а что нет, и почему Вы так считаете.

x