Андрей Павлов - Геометрия - Планиметрия в тезисах и решениях. 9 класс

Здесь есть возможность читать онлайн «Андрей Павлов - Геометрия - Планиметрия в тезисах и решениях. 9 класс» — ознакомительный отрывок электронной книги совершенно бесплатно, а после прочтения отрывка купить полную версию. В некоторых случаях можно слушать аудио, скачать через торрент в формате fb2 и присутствует краткое содержание. Жанр: Математика4, на русском языке. Описание произведения, (предисловие) а так же отзывы посетителей доступны на портале библиотеки ЛибКат.

Геометрия: Планиметрия в тезисах и решениях. 9 класс: краткое содержание, описание и аннотация

Предлагаем к чтению аннотацию, описание, краткое содержание или предисловие (зависит от того, что написал сам автор книги «Геометрия: Планиметрия в тезисах и решениях. 9 класс»). Если вы не нашли необходимую информацию о книге — напишите в комментариях, мы постараемся отыскать её.

В пособии конспективно изложен школьный курс геометрии. Приведены комплекты экзаменационных билетов, задачи и их решения, распределённые по различным уровням сложности.
Материалы пособия соответствуют учебной программе школьного курса геометрии.
Для учителей и учащихся 9-х классов.

Геометрия: Планиметрия в тезисах и решениях. 9 класс — читать онлайн ознакомительный отрывок

Ниже представлен текст книги, разбитый по страницам. Система сохранения места последней прочитанной страницы, позволяет с удобством читать онлайн бесплатно книгу «Геометрия: Планиметрия в тезисах и решениях. 9 класс», без необходимости каждый раз заново искать на чём Вы остановились. Поставьте закладку, и сможете в любой момент перейти на страницу, на которой закончили чтение.

Тёмная тема
Сбросить

Интервал:

Закладка:

Сделать

Пример:?1 + ?2 + ?3 + ?4 + ?5 = 180°?(5–2) = 540°.

Теорема о внешнем угле треугольника.

Внешний угол треугольника равен сумме двух внутренних углов, не смежных с ним (рис. 70):

? = ? + ?.

Рис 70 Теорема о величине вписанного в окружность угла Угол вписанный в - фото 70

Рис. 70.

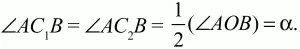
Теорема о величине вписанного в окружность угла.

Угол, вписанный в окружность, равен половине соответствующего q центрального угла (рис. 71):

Рис 71 3 Основные теоремы о треугольнике Признаки равенства треугольников - фото 71 Рис 71 3 Основные теоремы о треугольнике Признаки равенства треугольников - фото 72

Рис. 71.

3. Основные теоремы о треугольнике

Признаки равенства треугольников. Если две стороны и угол между ними одного треугольника равны соответственно двум сторонам и углу между ними другого треугольника, то такие треугольники равны (рис. 72).

Рис 72 ABC A1B1C1 т к АB А1В1 АС А1С1 и A A1 Если сторона и - фото 73

Рис. 72.

?ABC = ?A1B1C1 т. к. АB = А1В1, АС = А1С1 и ?A = ?A1.

Если сторона и прилежащие к ней углы одного треугольника равны соответственно стороне и прилежащим к ней углам другого треугольника, то такие треугольники равны (рис. 73).

Рис 73 ABC A1B1C1 т к АC А1C1 A A1 C C1 Если три стороны - фото 74

Рис. 73.

?ABC = ?A1B1C1 т. к. АC = А1C1, ?A = ?A1, ?C = ?C1.

Если три стороны одного треугольника равны соответственно трем сторонам другого треугольника, то такие треугольники равны (рис. 74).

Рис 74 ABC A1B1C1 т к АB А1B1 АC А1C1 BC B1C1 Признаки - фото 75

Рис. 74.

?ABC = ?A1B1C1 т. к. АB = А1B1, АC = А1C1, BC = B1C1.

Признаки равенства прямоугольных треугольников.

Если гипотенуза и катет одного треугольника соответственно равны гипотенузе и катету другого треугольника, то такие треугольники равны (рис. 75).

Рис 75 ABC A1B1C1 т к А А1 90 BC B1C1 AB A1B1 Если - фото 76

Рис. 75.

?ABC = ?A1B1C1 т. к. ?А = ?А1 = 90°; BC = B1C1; AB = A1B1.

Если гипотенуза и острый угол одного треугольника соответственно равны гипотенузе и острому углу другого треугольника, то такие треугольники равны (рис. 76).

Рис 76 АВС А1В1С1 т к АВ А1В1 А A1 a С С1 90 Свойство - фото 77

Рис. 76.

?АВС = ?А1В1С1, т. к. АВ = А1В1, ?А = ?A1 a ?С = ?С1 = 90°.

Свойство медианы равнобедренного треугольника.

В равнобедренном треугольнике медиана, проведённая к основанию, является биссектрисой и высотой (рис. 77).

Рис 77 АВ ВС АМ МС АВМ МВС АМВ ВМС 90 Свойство - фото 78

Рис. 77.

(АВ = ВС, АМ = МС) ? (?АВМ = ?МВС, ?АМВ = ?ВМС = 90°).

Свойство средней линии треугольника.

Средняя линия треугольника, соединяющая середины двух данных сторон, параллельна третьей стороне и равна её половине (рис. 78).

Рис 78 EFAC EF 12АС т к АЕ ЕВ и BF FC Теорема синусов Стороны - фото 79

Рис. 78.

EF||AC, EF = 1/2АС, т. к. АЕ = ЕВ и BF = FC.

Теорема синусов.

Стороны треугольника пропорциональны синусам противолежащих углов (рис. 79).

Рис 79 Теорема косинусов Квадрат любой стороны треугольника равен сумме - фото 80

Рис. 79.

Теорема косинусов Квадрат любой стороны треугольника равен сумме квадратов - фото 81

Теорема косинусов.

Квадрат любой стороны треугольника равен сумме квадратов двух других сторон без удвоенного произведения этих сторон на косинус угла между ними (рис. 80).

Рис 80 а2 b2 с2 2bc cos Теорема Пифагора частный случай теоремы - фото 82

Рис. 80.

а2= b2+ с2– 2bc cos ?.

Теорема Пифагора (частный случай теоремы косинусов).

В прямоугольном треугольнике квадрат гипотенузы равен сумме квадратов катетов (рис. 81).

Рис 81 с2 а2 b2 4 Пропорциональность и подобие на плоскости Теорема - фото 83

Рис. 81.

с2= а2+ b2.

4. Пропорциональность и подобие на плоскости

Теорема Фалеса.

Если параллельные прямые, пересекающие стороны угла, отсекают на одной его стороне равные отрезки, то они отсекают равные отрезки и на другой его стороне (рис. 82).

Рис 82 АВ BC AA1BB1CC1 A1B1 В1С1 q и р лучи образующие угол - фото 84

Рис. 82.

(АВ = BC, AA1||BB1||CC1) ? A1B1 = В1С1, q и р – лучи, образующие угол ?.

а, b, с – прямые, пересекающие стороны угла.

Теорема о пропорциональных отрезках (обобщение теоремы Фалеса).

Читать дальше
Тёмная тема
Сбросить

Интервал:

Закладка:

Сделать

Похожие книги на «Геометрия: Планиметрия в тезисах и решениях. 9 класс»

Представляем Вашему вниманию похожие книги на «Геометрия: Планиметрия в тезисах и решениях. 9 класс» списком для выбора. Мы отобрали схожую по названию и смыслу литературу в надежде предоставить читателям больше вариантов отыскать новые, интересные, ещё непрочитанные произведения.


Отзывы о книге «Геометрия: Планиметрия в тезисах и решениях. 9 класс»

Обсуждение, отзывы о книге «Геометрия: Планиметрия в тезисах и решениях. 9 класс» и просто собственные мнения читателей. Оставьте ваши комментарии, напишите, что Вы думаете о произведении, его смысле или главных героях. Укажите что конкретно понравилось, а что нет, и почему Вы так считаете.

x